作者:紅星機器時間:2010-10-05更新時間:2010-10-05
如果您想了解我們的產品,可以隨時撥打我公司的銷售熱線或點擊下方按鈕在線咨詢價格!
立即撥打電話享更多優惠:0371-67772626
磨機中的球荷由若干層球組成,每一層球都有一個脫離點Ai和一個落回點Bi。每一層球的Ai點的坐標各不相同,但它們既然都是脫離點,就都具有相同的幾何條件。同樣,各落回點Bi的坐標盡管也不相同,但也都符合同一個幾何條件。找出這兩種幾何條件,就找出了這兩種轉折點的連線,即脫離點與落回點的軌跡。由公式可知
![]()
此處a=
,當n為已給定時,a 為常數。公式(2-17)是以磨機中心O為極點,坐標軸OY為極軸的圓曲線方程,此圓的半徑為
。由于每一層球皆有一脫離角ai與球層半徑Ri,并且符合上述關系,因此諸Ai皆在以O1為圓心及O1O=
為半徑的圓上。這個圓就是各脫離點Ai的軌跡,見圖2-8。落回點Bi到磨機中心的距離為Ri,與極軸OY之間的極角由公式可知為
點Bi也在圓運動軌跡上,它也遵從公式,于是照樣有極坐標方程式
當
時,R=0,此方程式表示的曲線(即巴斯赫利螺線)將通過磨機中心(即極點)O。公式代表的曲線就是諸落回點Bi的軌跡。

來看,以
時R 的水平投影XB為極小值。由引可見,對目前所論述的問題說,這兩個極限值只
有意義,它是與小球層半徑R小相對應的大脫離角a大。于是,判斷球層保持明顯的圓運動和拋物線運動的極限狀態的兩個相關連的指標是 
每一層球有一球層半徑和相應的脫離角,它們的關系符合公式(2-17)。設外層球的半徑為R1,脫離角為a1,內層球的半徑為R2,脫離角為a2,在磨機的每分鐘轉數為n 時,根據公式(2-17),必有下述關系

此處的K為內層球半徑與外層球半徑之比,或內層球的與外層球的脫離角的余弦之比。當外層球的半徑被看作即磨機的半徑時,它就是內層球的半徑與磨機內半徑之比。顯然,K標志裝球率,因為裝球愈多,R2愈小,K 值也就較小。由公式可知

這兩個公式指出:外層球的脫離角僅與轉速率有關,而內層球的脫離角,即與轉速率又與裝球率(用K標志)有關。根據上面講的情況可知,為了保證內層球也能處于拋落狀態(即所有球層都是拋落的),裝球率與轉速率必有一確定關系。而且這種關系又必有臨界點,過了這種臨界點,磨機的轉速不足以使暈內層球作拋落,鋼球于是處于瀉落狀態。這里將用計算結果
繪制的曲線表示如下圖。圖中表明了裝球率、轉速率和球層半徑的關系,也表明了由這種關系所確定的瀉落和拋落的界限。

但鋼球直接打襯板會造成嚴重磨損,磨礦效果也差。磨機內的分區不僅如此明顯,而且能定量地計算出它們的范圍,下面講的球荷切面積可作說明。
磨機轉動時,其中有球的空間,一部分分布著作圓運動的球,另一部分分布著作拋物線落下的球。取與磨機長軸垂直的切面來看,全部運動著的球所占的面積為
,而作圓運動部分的球所占的面積為
1,作拋物線運動的球所占的面積為
2,則
在動態下的裝球率為
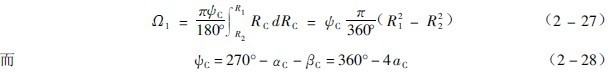
任取一層球,它的球層半徑為Rc,脫離角為ac,落下角為
,此球層所對的圓心角為
,由圖3-2-10 可以看出,
,在R2與R1范圍內積分上式,得到

在
及
1求出之后,
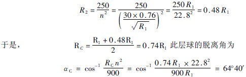
2也就可以算出。例如,某磨礦機的內半徑為R,轉速率為76%,適宜的裝球率為40%,求它的球荷切面積
,
1和
2。根據公式2-26,
=
。如果取位居中間的那層球來計算,
。內層球能作拋物落下的極限條件,由公式(2-26)可知為:

此層球的落回角為
此層球所對的圓心角為:

因此,在總球荷面積中,圓運動部分占62.5%
,拋物線運動部分占37.5%。顯然可知,裝球太少,
就很小,磨機內起磨礦作用的部分不多。裝球盡管適宜,但轉速過低,幾乎沒有
2,成為瀉落狀態,磨剝作用比沖擊作用占優勢。只有裝球率和轉速率都適合,才能保證發生拋落狀態,并有較大的
2,使沖擊作用較為充足。